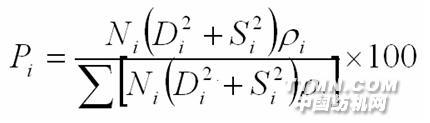
一、目前羊絨含量檢測的幾種方法1、投影顯微鏡法(GB/T 16988-1997)2、電子顯微鏡法(GB/T 14993-1993)3、CU系列電腦投影法二、取樣、制片1、散纖維根數在350到400根之間,共取四塊片子,總計纖維根數不少于1500根。2、紗線(織物可拆成紗線)將一束紗線用雙刀切取0.4mm左右長的纖維放置在載玻片上,滴入適當介質,攪拌均勻,蓋上蓋玻片,纖維不得流失。(用哈氏切片機切取,紗線根數可適當減少)三、測量1、散纖維將測量細度的片子用楔尺測得纖維直徑,其余三塊片子中的纖維則逐根分辨記數,不得遺漏,檢測根數在1500根以上。2、紗線測量時,先測得各類纖維的細度,再對纖維逐根分辨記數,檢測根數不得少于1500根。3、標準中規定需單獨測量的纖維:山羊絨直徑、駝絨直徑、牦牛絨直徑、兔毛直徑4、褪色四、鑒別1、羊絨:鱗片邊緣光滑,類似于環狀,包覆于毛干,鱗片密度比羊毛稀,間距大,鱗片較薄。2、土種綿羊毛:外觀形態與山羊絨接近,鱗片較整齊,厚度比山羊絨厚,光澤比山羊絨稍差。3、羊毛:細羊毛鱗片多呈環狀,粗羊毛多呈瓦狀或龜裂狀,鱗片密度較密,鱗片平均厚度較厚,纖維軸向細度不均勻。4、馬海毛:馬海毛鱗片扁平,很少重疊,表面光滑。5、駝絨:駝絨鱗片緊貼于毛干,鱗片較薄,間距較大,邊緣光滑,鱗片的形狀呈環狀或斜條狀。6、牦牛絨:牦牛絨多呈黑褐色,無色牦牛絨比較稀少,鱗片較薄,細毛鱗片呈環狀,包覆在毛干上,和山羊絨近似。半細毛的鱗片似魚鱗或瓦狀,包覆在毛干上。7、兔毛:兔毛基本上都有髓質層,僅有極少數的細毛無毛髓,兔毛的鱗片多為斜條形。8、羊駝毛:大部分纖維有不連續髓腔,鱗片邊緣模糊。 五、計算計算公式:
式中:Pi——某組分纖維重量百分比,%;Ni——某組分纖維的計數根數;Di——某組分纖維平均直徑,&m
相關信息 







推薦企業
推薦企業
推薦企業