王春梅 1,胡嘯林 1,李朝暉2 (1.南通大學,江蘇南通226007;2.南通海盟股份有限公司,江蘇南通226007) 作者簡介:王春梅(1967 ),女,江蘇南通人,碩士,副教授,主要從事染整助劑及工藝的研究。
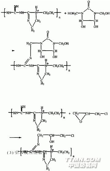
在紡織品的染色加工過程中,為了達到所要求的各項色牢度指標,常常要用固色劑進行固色處理。目前市場上的固色劑種類很多,有雙氰型樹脂固色劑、多胺類樹脂固色劑、聚陽離子型固色劑及反應性固色劑等幾類[1]。固色劑機理大致有下列幾種[2~4]:(1)利用固色劑的成膜性能,在纖維表面形成一層膜,將染料牢固地包覆在纖維表面從而提高染色牢度。(2)利用固色劑與纖維、染料間的分子間引力來增加固著強度,從而提高染色牢度。(3)利用固色劑分子中的陽離子基團與染料的陰離子基團形成離子鍵結合,降低染料水溶性以提高染物的色牢度,固色劑的陽離子性越強,其色牢度越好。(4)利用固色劑分子中的反應性基團與染料分子、纖維素分子上的可反應基團反應,形成高度多元化交聯系統,使染料、纖維更為緊密牢固地聯系在一起,防止染料從纖維上脫落從而提高染料的染色牢度。(5)利用平滑劑使纖維表面平滑柔軟,從而提高染物的摩擦牢度。(6)利用接枝辦法將紫外線吸收劑引入到固色劑分子中以提高活性染料的日曬牢度。 反應性固色劑能與纖維和染料分子中的某些基團形成共價鍵結合,對染色牢度的提高更有利,成為人們研究的熱點。下面介紹2種反應性固色劑的合成方法和應用效果。
1 反應性固色劑的制備原理和方法 1.1 原理.jpg)
1.2 制備方法 第一步:將二乙烯三胺加入到反應容器中,邊攪拌邊緩慢加熱,同時加入等摩爾氯化銨,于90℃反應1h,將反應溫度升至100℃,迅速加入等摩爾雙氰胺,繼續升溫至150℃左右,反應1.5h。反應過程中會放出大量氮氣,需用接收裝置收集,反應物的粘度隨反應的進行不斷增加,反應結束后,將反應物快速加入一定量的水中,攪拌后
相關信息 







推薦企業
推薦企業
推薦企業