1 引言
活性染料具有色澤鮮艷、勻染性好、染色牢度優良、色譜齊全、價格便宜、
制造和應用簡便等優點,故目前為纖維素纖維染色、印花中應用最廣泛的染料之一。但由于目前的活性染料為陰離子型染料,而纖維素纖維在染浴中通常帶有負電,故染色過程中染料和纖維間存在著靜電斥力,這將大大地影響染料的上染率,而未上染染料因易水解,從而降低了活性染料的固色率和利用率。為此,目前都采用在染色過程中加入大量電解質來降低纖維表面的Zate電位,從而降低染料與纖維間的靜電斥力,提高染料的上染率,并以此來提高染料的固色率和利用率。但是,電解質的促染帶來的負面影響也是顯而易見的,它不僅增加了染色成本,更重要的是廢水中含有的大量電解質將會加大污水處理的成本和負擔,或加重污水對環境的污染。為此,活性染料的低鹽高上染率染色目前已成為各國染色工作者積極探討的課題。綜觀本領域的研究,其方向主要有以下幾個方面:一是改性纖維,即采用接枝劑(通常用含環氧丙烷基的胺類化合物)對纖維素纖維進行化學接枝,在纖維素纖維上引入陽離子型基團(通常為季銨鹽),從而使纖維素纖維在染浴中顯正電,這樣便使得纖維素纖維與活性染料之間由原來的靜電斥力轉為靜電引力,提高上染率[1]。二是改性染料,即通過改變染料結構使活性染料中原陰離子型基團轉為陽離子型基團(通常為季銨鹽基團),這樣也能使得纖維素纖維與活性染料之間由原來的靜電斥力轉為靜電引力,提高上染率[2]。三是改善染料結構,通常通過提高染料分子量來提高染料的直接性,通過減少陰離子型基團來減小鹽效應,通過增加或改變活性基團來增強染料的反應性,從而達到低鹽染色的目的。四是采用受控染色工藝,即通過嚴格精確控制染色過程,采用先進合理的染色工藝,達到所謂“第一次正確”生產[3]。這樣可以盡可能減小鹽及其它染化料的用量,真正做到高生產效率、高正品率、短生產周期、低生產成本、最少的廢水污染
眾所周知,染料結構不同,其染色鹽感度有很大的差異。本文通過活性染料
的結構與其染色鹽感度的研究,旨在找出適宜低鹽染色的染料的結構特點,為生產低鹽染料提供理論依據。目前,衡量鹽感度的方法通常有包爾頓法、鹽控制性法和吸盡率-鹽濃度曲線法等[4]。其中包爾頓法是由包爾頓提出的一種鹽感度的測定方法,他把浴比1:40的條件下染料在粘纖上吸盡50%所需的鹽量定義為鹽感度;鹽控制性法是由利門(Lemin)等人提出的一種衡量鹽感度的方法。他將鹽控制性定義為:鹽控制性=(E10-E0)/E0。式中E0、E10分別為未加鹽以及加相當于纖維素纖維質量的10%的硫酸鈉時的上染率;吸盡率-鹽濃度曲線法是根據染料的吸盡度隨鹽濃度的變化曲線來判斷鹽感度的方法,該方法能較好的反映不同染料的鹽感度。鑒于活性染料的特點,本文將采用鹽控制性和K/S值-鹽濃度曲線法綜合對不同染料進行鹽感度研究。
2 試驗部分
2.1 試驗材料
織物:30×30 68×68
試劑:中溫型活性染料 食鹽 純堿
2.2 試驗設備與儀器
YCZ系列-常溫振蕩式小樣染色機、Datecolor-600電腦測色配色儀、電子
天平、10ml移液管、托盤天平等。
2.3 試驗工藝
工藝流程:溫水潤濕→浸染→固色→水洗→皂洗→水洗→烘干→測K/S值
染色處方:活性染料(owf): 2%
食鹽(克/升): 0 10 20 30 40 50
純堿:
浴比: 1:50
染色條件:潤濕水溫:50OC
浸染溫度:65 OC
浸染時間:45min
固色溫度:65 OC
固色時間:45min
2.4 試驗操作
用電子天平精確稱取
釋至刻度,配制成濃度為
2.5 試驗結果
表1 食鹽濃度對各染料染物表面色深(K/S值)的影響
| 染料名稱 | λmix | 食鹽濃度(克/升) | |||||
| E0(0) | E1(10) | E2(20) | E3(30) | E4(40) | E5(50) | ||
| 活性橙K-R | 440 | 3.7793 | 5.9222 | 6.4576 | 6.9423 | 7.0434 | 7.4838 |
| 活性艷紅M-2B | 540 | 1.8460 | 3.1304 | 3.9871 | 4.6050 | 5.0151 | 5.1630 |
| 活性艷藍K-GR | 620 | 0.2394 | 0.5014 | 0.7635 | 0.8026 | 0.8138 | 0.8340 |
| 活性黃棕K-GR | 400 | 0.5282 | 0.6094 | 0.8116 | 0.8649 | 0.8702 | 0.8837 |
| 活性艷紅K-2BP | 550 | 1.9829 | 3.1019 | 3.4887 | 4.4878 | 4.9709 | 5.4034 |
| 活性深藍K-R | 580 | 1.1960 | 2.0290 | 2.2373 | 2.2846 | 3.2392 | 3.3620 |
| 活性黃K-RN | 410 | 2.1555 | 3.3682 | 3.8439 | 4.2175 | 4.3766 | 4.4856 |
| 活性艷紅K | 540 | 0.9692 | 2.0995 | 2.3820 | 2.7737 | 3.4233 | 3.4899 |
| 活性艷紅M-8B | 540 | 1.8395 | 3.2636 | 3.6195 | 4.3849 | 4.5626 | 5.1427 |
| 活性嫩黃K | 400 | 0.2606 | < .3567 | 0.3808 | 0.4675 | 0.4783 | 0.6650 |
| 活性橙KE | 480 | 5.0555 | 7.4397 | 8.0355 | 9.5933 | 9.9377 | 10.2210 |
| 活性艷橙K-GN | 480 | 0.5916 | 1.3833 | 1.5812 | 2.1263 | 2.5624 | 2.6706 |
| 活性艷藍KN-R | 670 | 2.9935 | 6.0995 | 6.2122 | 6.4089 | 6.4672 | 7.0506 |
2.6試驗結果分析
染料結構與鹽控制性之間的關系見表2和圖1。
表2 染料結構與鹽控制性之間的關系
| 序號 | 染料名稱 | 分子量 | 電荷數 | 荷質比 ×10-3 | 鹽控制性 (E1-E0)/E0 |
| 1 | 活性橙K-R | 945.5 | 3 | 3.17 | 0.5670 |
| 2 | 活性艷紅M-2B | 1239.5 | 4 | 3.23 | 0.6958 |
| 3 | 活性艷藍K-GR | 789.5 | 2 | 2.53 | 1.0946 |
| 4 | 活性黃棕K-GR | 1119.5 | 4 | 3.57 | 0.8569 |
| 5 | 活性艷紅K-2BP | 968 | 3 | 3.10 | 0.5643 |
| 6 | 活性深藍K-R | 1227.5 | 4 | 3.26 | 0.6965 |
| 7 | 活性黃K-RN | 974.5 | 3 | 3.08 | 0.5626 |
| 8 | 活性艷紅K | 1063 | 4 | 3.76 | 1.1662 |
| 9 | 活性艷紅M-8B | 1151.5 | 4 | 3.47 | 0.7742 |
| 10 | 活性嫩黃K | 1032.5 | 3 | 2.91 | 0.3689 |
| 11 | 活性橙KE< 2G | 2190 | 8 | 3.65 | 0.4716 |
| 12 | 活性艷橙K-GN | 1047 | 4 | 3.82 | 1.3382 |
| 13 | 活性艷藍KN-R | 801 | 2 | 2.50 | 1.0376 |

從表2和圖1可知:活性染料的鹽感度與染料的荷質比密切相關。一般而言,染料的荷質比越大,染料的鹽感度也就越大,但當染料的分子量偏大或偏小時例外。當染料分子量偏小(分子量在800以下)時,即使染料的荷質比較小,仍有較大的鹽感度,如活性艷藍K-GR、活性艷藍KN-R;當染料分子量偏大(分子量在2000以上)時,即使染料的荷質比較大,鹽感度仍較小,如活性橙KE
鹽濃度與K/S值之間的關系見下圖



從鹽濃度與K/S值之間的關系曲線可以看出:各染料染物的K/S值均隨著鹽濃度的增加而增大,但當鹽濃度在
3 結論
活性染料的鹽感度與染料的荷質比密切相關。一般而言,染料的荷質比越大,染料的鹽感度也就越大,但當染料的分子量偏大或偏小時例外。當染料分子量偏小時,即使染料的荷質比較小,仍
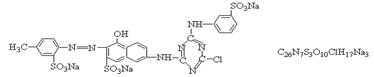
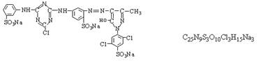
附:活性染料結構
活性艷橙K-R 
活性艷紅M-2B 
活性艷藍K-GR 
活性黃棕K-GR 
活性艷紅K-2BP 
活性深藍K-R
活性黃K-RN 
活性艷紅K
活性艷紅M-8B 
活性嫩黃K
活性橙KE
活性艷橙K-GN
活性艷藍KN-R 
相關信息 







推薦企業
推薦企業
推薦企業