董永春 (天津紡織工學院)
一.引言早在本世紀五十年代初,美國杜邦公司試圖以聚四氟乙烯乳液處理織物使其得到拒水拒油的性能。五十年代中期,美國3M公司合成了全氟羧酸與氯化鉻的絡合物以及丙烯酸全氟烷基酯聚合物乳液,率先淮出了商品牌號為"Scotchgurd”的拒水拒油含氟整理劑,經整理后的織物具有一定的拒水拒油性,但存在價格昂貴,耐久性差等缺點,六十年代,含氟聚合物的研究和應用在美國和日本得到了進一步的發展,通過引入共聚單體以降低價格,改善耐久性。七十年代以后,日本的大金和旭硝子公司等先后制造出了自己的正式商品,通過加入一些改性化合物對含氟聚合物進行政性,得到的新型聚合物整理劑具有拒油拒水,防污及抗靜電等多種功能。八十年代,日本的旭硝子,帝人公司又成功地將含氟聚合物應用于聚酯纖維織物的深色加工中,對增進織物得色深艷有顯著效果。國內對于含氟聚合物的研究約始于一九六五年。七十年代中期,合成和使用過(甲基)丙烯酸酯含氟乳液,盡管具有一定的拒油拒水效果,終因質量不過關和價格昂貴等原因末能推廣應用。日前,隨著國內外民用和工業用特種織物用量的日益增長,含氟聚合物類整理劑的研究和應用將有重要意義,因此,本文對含氟聚合物及其在織物后整理中的應用作一簡要介紹和討論。
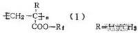
二.含氟聚合物的化學結構和性能 含氟聚合物整理劑最基本的化學結構如式(1)
其中主鏈為聚烯烴型,側鏈則是含有氟碳鏈的酯基。 一般含氟均聚物的臨界表面張力(Yc=10.4dyn/cm)與聚氯乙烯(Yc=39dyn/cm)和聚乙烯(Yc=31.Odyn/cm)相比明顯降低。因而具有良好的拒水拒油性能。
相關信息 







推薦企業
推薦企業
推薦企業