作者:黃麗,張尚勇,周雪剛武漢科技學院紡織與材料學院,430073
1前言傳統的苧麻生產流程長,工藝繁雜,在紡紗之前要經過的脫膠工程就長達10多道工序。而且,苧麻紡織工藝在生產效率,能源消耗、工作環境等方面也相對比較落后。所以,優化苧麻生產工藝、降低生產成本、節約能源、保護環境對整個苧麻行業的意義十分重大。將苧麻分段,能將合適的工藝運用到麻的不同部分。物盡其用,可以減少以前混合時的能耗和機耗,節約了在整個脫膠時所損耗的資源。在沒有諸如切斷等預處理工序的情況下,苧麻過長纖維的斷裂主要是靠開松環節中錫林與鐵托板相互的扯斷作用來完成,這種處理方式的不可控因素很多,會使得苧麻纖維的長度不勻率比較大。由人工喂入開松機后,苧麻纖維在開松機的內部被再一次地混合,本來纖維方向比較整齊的精干麻被又一次地打亂和重新梳理,這對提高纖維條中麻纖維的平行伸直度有負面影響,增加了纖維被機械損傷的幾率,也降低了紡紗過程的效率。
2實驗部分2.1分段長度的確定與脫膠工藝取精干麻五束,分別用中段切斷法測其纖維長度。得到:最長纖維長度為L1=28.5cm,最短纖維長度為L2=7.7cm,平均纖維長度Lave=20.7cm。為了保證在切斷中能夠保留更多完好的纖維,故取分段長度為30cm。取一束麻條從根往稍將其均勻分成五部分,每段約30 cm,并稱其重量,分別標上根部,次根部,中部,中上部,稍部。基本脫膠工藝:使用每1g麻用KMn04 3.5g/L 40mL 8min預處理,用NaOH 25g/L 30mL 1.7個大氣壓1h加0.06gNa3P03 O.04gNa2S03煮練,酸洗,水洗,拷麻,用NaOH 15g/L 30mL 1.7個大氣壓1h加0.06gNa3P03 0.04gNa2S03二煮等。2.2精干麻品質分析纖維的細度通常是指纖維截面面積的大小,纖維細度指標有直接指標和間接指標兩種。選用間接法中的中段稱
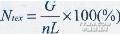
其中,Ntex——線密度,tex;G——苧麻纖維中段纖維重量單位g;
相關信息 







推薦企業
推薦企業
推薦企業