王東寧,周啟飛,張小媛
1 雙氧水漂白活化劑301P的應用性能1.1 活化劑301P的性能及作用機理 活化劑301P是以AOBS(烷酰氧苯磺酸鈉)為主活化劑,并輔以相關促進和保護組分的復配型產品。它可用于棉織物的同浴練漂,處理溫度低于40℃,堆置時問可縮短至6~8 h。活化劑301P呈淡黃色粉末狀,能通過生物降解為二氧化碳、水、氨和硝酸鹽,屬環保型前處理助劑。 H202分解后,其漂白的有效組分是H00-,分解機理為:
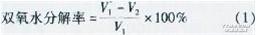
。根據化學反應平衡原理,漂液中加入堿,能中和H+,促進HOO-的生成。活化劑301P中的AOBS可與HOO-發生親核取代反應,生成比H2O2更為活潑的過氧乙酸陰離子,能在低溫、低堿條件下發生漂白作用。1.2活化劑301P對雙氧水分解率的影響1.2.1材料 織物(27.8 tex×2)×58.3 tex 150 g/m2純棉平紋布 藥品活化劑301P(市售);雙氧水,雙氧水穩定劑(淮安市天虹化工原料有限公司),氫氧化鈉;精練劑L-25,螫合劑CA-60(上海立明精細化工有限公司,以上均為工業品)。1.2.2漂白工藝 稱取15 g未處理織物,按浴比1:30配制漂白液,在恒溫水浴中加熱至一定溫度后進行漂白;取出水洗,晾干。 漂白處方/(g/L) H202 2 穩定劑 2 活化劑30I P 6 精練劑L-25 2 NaOH x1.2.3雙氧水分解率測定 雙氧水分解率用高錳酸鉀標準溶液測定,由式(1)算得:
式中:V。——漂白前,10 mL漂液消耗的高錳酸鉀標準溶液體積; V2——漂白至規定時間后,10 mL漂白殘液消耗的高錳酸鉀標準溶液體積。1.2.4影響因素分析 (1)NaOH用量對H202分解率的影響
相關信息 







推薦企業
推薦企業
推薦企業