不少業內同仁認為,織物在平幅加工過程的張力應該是愈小愈好.小了對織物的牽伸量減小.有利于減輕后整理時的預縮工作負荷:也有的認為:織物平幅加工過程的張力多大為好,要看工藝的具體情況,在某些工況中,張力可能是小了好.而另一些工況卻要求織物承受一定的外加張力,以期符合工藝的要求。平幅加工聯合機在機張力不是恒定低張力。請廣大讀者參與討論。
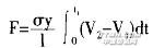
李清:根據胡克定律.織物的張力
式中:σ—— 織物的截面積:y—— 織物的彈性模量:L—— 兩個傳動點間距離:t1—— 織物啟動時間。由式可知.織物作為張力調節對象是個積分過程。在穩定運行中,不論V1或V2(兩個傳動點的線速度)有任何波動,都將引起織物張力波動。設織物的彈性系數為Kf,根據胡克定律
,當v2(t)-v1(t)為常數,則
即張力恒定不變。歐洲的同行認為兩導布輥中間距除以導布輥直徑商小于6為好,不易起皺,為什么呢?由胡克定律解釋可知,織物運行張力與兩傳動質點問的距離成反比,那么商大于6意味中心距長,則張力小.而織物運行張力過小,布幅在導布輥上不易包裹平覆,織物進給中會晃動,在導布輥上易游動。從而導致起皺。水洗箱、汽蒸箱外軸承,確保導布輥間的平行,織物平直導布,不易起皺。然而一臺平洗箱出布處的松緊架.由內輥承汽缸加壓1.5 kg/cm2(0.15 MPa)上升到外輥承汽缸加壓時的3.8 kg/cm2(0.38 MPa),原因是防止外輥承機械密封處漏水.因此將密封件收得很緊.織物牽曳導布輥的拉力(摩擦阻力)提高到253%,這樣,一方面織物因經向張力過大而導致直條皺紋:另一方面織物經向的預縮率將大大地增加,對紡織品尺寸的穩定性不利。預縮工藝織物若超喂松弛地貼在加壓輥上半周上的橡膠毯外表進入軋點,收縮效果(在67 mm厚橡膠毯、承壓輥直徑為61
相關信息 







推薦企業
推薦企業
推薦企業