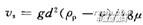
離散粒子沉降離散顆粒沉降也稱自由沉降。假定:顆粒為一個密度為Pp、直徑為d的球形;在沉降過程中,其形狀、粒徑及密度均不變;水是靜止的,不可壓縮的;顆粒的下沉運動過程中不受器璧及其他顆粒的影響;顆粒在運動開始后,瞬間就達到等速運動的狀態.則顆粒沉降速vs,可用下式表示:
式中 g——重力加速度;p——水的密度;Cd——顆粒在水中下沉時的阻力系數。如能得到阻力系數,即可確定沉降速度。阻力系數是雷諾數NRe的函數,雷諾數NRe可由下式表示:NRe=dusp/u式中u代表水的黏度,其他各量仍如上所述。球狀顆粒在水中沉降,圍繞顆粒的水流呈層流狀態,即NRe<2,剛阻力系數Cd為24/NRe;當2<NRe<500時,Cd=185/(NRe)0.6;當NRe>500時,Cd=0.4。在沉淀池內,微粒沉降過程中,其周圍水流的NRe大多處于層流區或過渡區內。對任一區域,取得相應的沉降速度是可能的。層流區域的沉淀速變表達式。
對沉降過程有決定性影響的參數是以平方出現微粒直徑,絮凝是增大微粒直徑的方法,并對微粒密度也有一定的影響。水的密度和黏度是由沉降的廢水溫度所決定。提高溫度,將降低水的密度和黏度,從而提高沉降速度。
相關信息 







推薦企業
推薦企業
推薦企業